Opublikowane ostatnio badania wykazały, że konopie pomagają zwalczyć stres podczas publicznych wystąpień, co jest dobrą wiadomością dla tych, którzy takich wystąpień się boją. Oczywiście nie chodzi tylko o publiczne wystąpienia ponieważ kannabidiol zawarty w konopiach wykazuje ogólne działanie przeciwlękowe.
Badanie, opublikowane w Brazilian Journal of Psychiatry, miało sprawdzić, w jaki sposób CBD wpływa na lęk w symulowanym środowisku publicznym, jako „dobrze przetestowana metoda likwidowania niepokoju”.
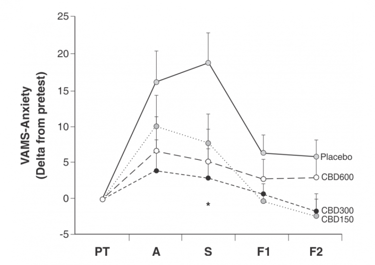
Eksperyment
Naukowcy podczas eksperymentu przeanalizowali wyniki testów lękowych, jak również wskaźniki fizjologiczne, takie jak ciśnienie krwi czy częstotliwość akcji serca u 57 mężczyzn. Uczestnicy otrzymali 150 mg, 300 mg lub 600 mg CBD lub placebo w losowym, podwójnie zaślepionym teście.
Wcześniejsze badania wykazały, że CBD może łagodzić lęk w sposób zależny od dawki. W niniejszym badaniu sformułowano ten sam wniosek.

Przebieg badania
Uczestnikom pokazano film instruktażowy i dano dwie minuty na przygotowanie się do czterominutowego przemówienia na temat transportu publicznego w ich okolicy. Markery lękowe zostały przetestowane przed, w trakcie i po przemówieniach.
„Potwierdzając kilka badań przedklinicznych i klinicznych, nasze wyniki wskazują, że duże dawki CBD mogą zmniejszyć lęk”
-napisali naukowcy.
Konopie pomagają zwalczyć stres
Stres czy występujące często w dzisiejszych czasach – niczym nie uzasadnione poczucie lęku, na te dolegliwości świetnie pomaga zawarty w marihuanie kannabidiol. Te dwie dolegliwości – lęk i stres – niszczą zdrowie, samopoczucie i codzienny nastrój milionom ludzi na całym świecie. W czasach gdzie wszystko ma być na wczoraj, czasach zbyt szybkiego i nienaturalnego dla nas trybu życia CBD może okazać się idealnym suplementem i wsparciem na co dzień, zwłaszcza, że nie ma ryzyka skutków ubocznych – no może po za lepszym apetytem i samopoczuciem.

























Jedną z historii po spożyciu konopnego shota opisano też na stronie Wolnych Konopi:

